Pico SE4 2025/2026

De projets-se.plil.fr
Aller à la navigation Aller à la recherche

Objectif

Voir le sujet dans le menu englobant.

Organisation du travail

Vous déposerez votre travail dans un projet GIT sur le serveur Gitea de la platforme informatique.

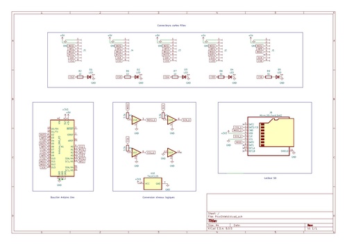
Bouclier ordonnanceur

Vous devez réaliser le bouclier Arduino Uno pour l'ordonnancement et pour que chaque binôme puisse simuler une carte mère.

A la base le bouclier permet de connecter 5 périphériques SPI via des connecteurs 8 contacts sous la forme de cartes filles. A noter qu'en plus des lignes du bus SPI, une ligne réinitialisation et une ligne interruption sont acheminées de et vers les périphériques SPI.

Le bouclier comprend aussi une mémoire. Vous devez prévoir une carte micro-SD via un connecteur Molex 10431 mais aussi une puce mémoire AT45DB641E. Les deux mémoires doivent être prévues sur le circuit imprimé, vous déciderez plus tard laquelle sera soudée. Vu que l'Arduino fonctionne en 5V et les mémoires en 3,3V un releveur de niveau est nécessaire. La puce à utiliser est la 74LV125. Vous pouvez aussi concevoir la mémoire de masse comme une carte fille sans ligne de réinitialisation ou d'initialisation.

Schéma PicoShield
Empreintes


Réalisations des élèves

Numéro du binôme Numéro du groupe Elèves Page
Binôme 1 Groupe 1 Thomas Delobelle & Antonin Biernacki Binôme 1 2025/2026
Binôme 2 Groupe 1 Prénom Nom & Prénom Nom Binôme 2 2025/2026
Binôme 3 Groupe 1 Prénom Nom & Prénom Nom Binôme 3 2025/2026
Binôme 4 Groupe 1 Prénom Nom & Prénom Nom Binôme 4 2025/2026
Binôme 5 Groupe 1 Prénom Nom & Prénom Nom Binôme 5 2025/2026
Binôme 6 Groupe 2 Cédric Payet & Prénom Nom Binôme 6 2025/2026